회전체의 진동 감시 및 기기보호를 위한 진동감시설비의 구성요소와 진동센서별 장·단점에 대하여 설명하시오




http://www.mkckorea.com/catalog/kawatetsu/page/data.htm
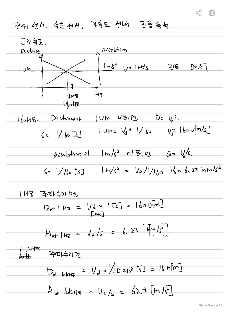
변위 센서는 진동의 변위를 측정하는 장치입니다. 그러나 변위 센서의 사용에는 몇 가지 주의 사항이 있습니다.
변위 센서는 진동의 변위를 정확하게 측정할 수 있지만, 그것은 센서가 진동의 주파수에 따라 다르게 반응하기 때문입니다1. 이를 “추종성” 문제라고 합니다.
추종성 문제는 변위 센서가 진동의 주파수에 따라 센서의 출력이 달라지는 현상을 말합니다1. 예를 들어, 저주파 진동을 측정할 때 변위 센서는 진동의 변위를 정확하게 측정할 수 있지만, 고주파 진동을 측정할 때는 센서의 출력이 실제 진동의 변위와 다를 수 있습니다1.
따라서 변위 센서를 사용할 때는 측정하려는 진동의 주파수를 고려해야 합니다1. 또한, 변위 센서의 출력을 해석할 때는 센서의 추종성을 고려해야 합니다1. 이러한 이유로, 가속도 센서가 넓은 주파수 범위의 진동 측정에 더 자주 사용됩니다2.
속도 센서는 진동의 속도를 측정하는 장치입니다. 이 센서는 진동하는 대상체에 고정되어야 하는데, 그 이유는 다음과 같습니다
- 정확한 측정: 속도 센서는 진동하는 대상체의 움직임을 정확하게 측정하기 위해 대상체에 고정되어야 합니다. 센서가 고정되지 않으면, 센서 자체의 움직임이 측정 결과에 영향을 줄 수 있습니다1.
- 진동의 추종성: 속도 센서는 진동의 주파수에 따라 다르게 반응합니다. 이를 “추종성”이라고 합니다. 센서가 고정되어 있지 않으면, 센서의 추종성이 측정 결과에 영향을 줄 수 있습니다1.
- 외부 요인의 영향 최소화: 센서가 고정되어 있지 않으면, 외부 요인(예: 바람, 충격 등)이 센서에 영향을 줄 수 있습니다. 이러한 외부 요인은 측정 결과의 정확성을 해칠 수 있습니다1.
따라서 속도 센서는 진동 측정 시 고정점이 필요합니다. 그러나 고정 방법은 다양하며, 강력 본드를 사용하여 센서를 고정하거나, 특정 조건을 만족하거나 진동을 측정하는 대상체에 손상이 가지 않기 위해서는 자석이나 bee-wax 등으로 고정하기도 합니다2.
https://blog.naver.com/its-21/221578458681
진동 센서의 종류와 진폭 단위와의 관련성 (변위, 속도, 가속도) 진동측정과 평가 v2p : 네이버 블로그 (naver.com)