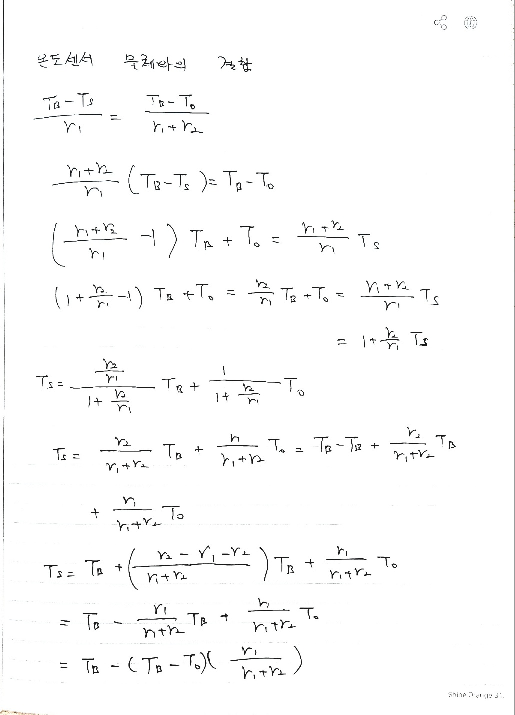
센서 열적 결합 수식 유도
책 유도된 수식이 약간 틀린 것 같음. 아래와 같이 유도 되어도 같은 문맥.
센서 근사 방법
inherent, installed flow characteristic
이메일 주소는 공개되지 않습니다. 필수 필드는 *로 표시됩니다
이름*
이메일*
웹사이트
댓글 알림 이메일 받기
새 글 알림 이메일 받기
Δ
이 사이트는 Akismet을 사용하여 스팸을 줄입니다. 댓글 데이터가 어떻게 처리되는지 알아보세요.