루트 로커스



루스-허이즈 안정 판별법
https://m.blog.naver.com/PostView.naver?isHttpsRedirect=true&blogId=wisdom0719&logNo=221244858884

계수가 0일 경우 매우 작은 입실론을 대입하여 수정
부호 변하 개수가 오른쪽에 있는 근 수
맨 왼쪽 계수가 모두 양수이어야 안정적인 시스템임(a1, b1, c1, d1)
4단자 회로

과도회로 해석(R-L, R-C 회로)


Root of j
https://crazyj.tistory.com/135

무왜곡 회로

오일러 정리

오일러 공식을 유도하는 다양한 방법 중 대표적으로 미분 방정식을 이용하여 유도하는 방법과 테일러 급수를 이용하여 유도하는 방법에 대하여 이 글에서 다루어 보도록 하겠습니다.
미분 방정식을 이용한 오일러 공식 유도
오일러 공식을 사용할 때에는 수의 범위를 복소수의 범위에서 생각하겠습니다. 즉, 허수도 적용 가능한 공식임을 뜻합니다.

위 그래프는 복소 평면을 나타내며 복소 평면에서 복소수는 x+iy 형태의 한 점으로 나타낼 수 있습니다. 가로축은 실수(Real)을 뜻하고 세로축은 허수 (Imaginary)를 뜻합니다. 이 때, x+iy를 (x,y)와 같이 직교 좌표계 형태로 나타낼 수 있는 반면 극 좌표계 개념을 도입하여 x+iy=rcosθ+irsinθ 형태로 나타낼 수 있습니다.

극 좌표계를 이용하여 위 그림과 같이 r=1인 단위 원을 그리면 위 그래프와 같이 나타낼 수 있습니다. 이 경우 z=cosθ+isinθ로 극 좌표 z를 나타낼 수 있습니다. 이 식과 미분 방정식을 이용하여 오일러 공식을 유도해 보겠습니다.

따라서 위 식에서 유도한 바와 같이 eiθ=cosθ+isinθ
관계를 가지게 됩니다.

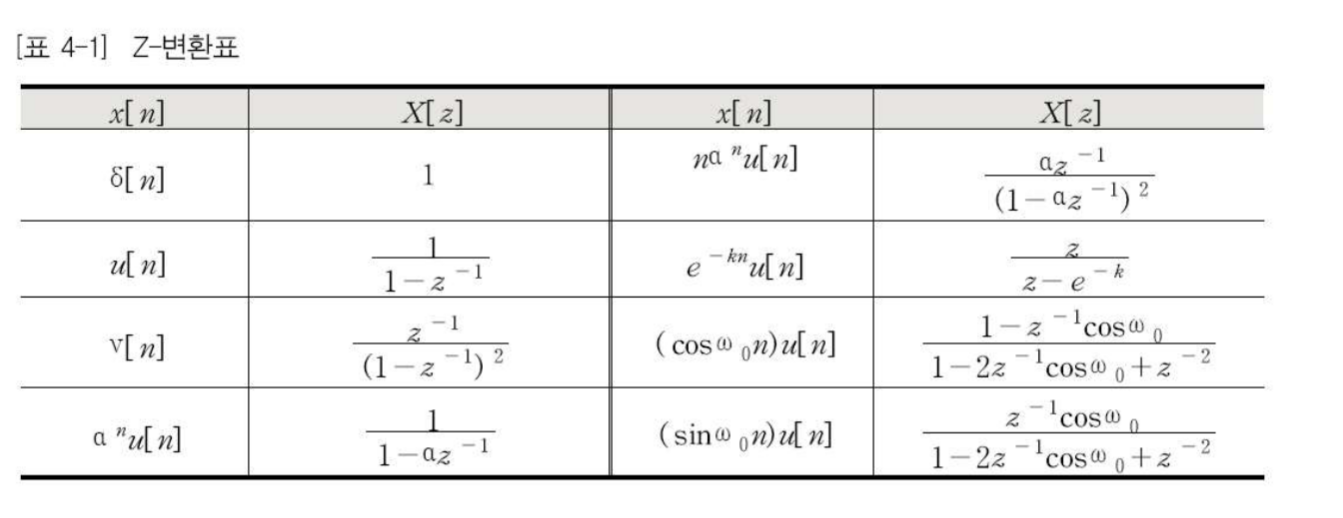
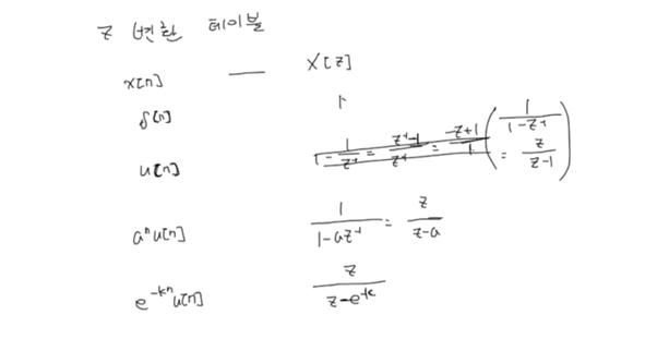
Z 변환 테이블

읽기 쉽게 변환하면

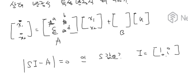
상태 방정식의 특성 방적식 해

정상위치 편차


비정현파 실효값

시스템 감도

흐름 선도에서 전달 함수 찾는 방법

2 전력계법
