sensor handbook 참조


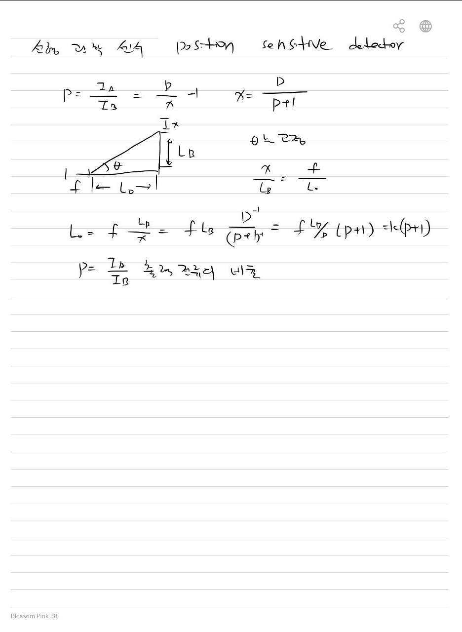
여기서 P는 Position Sensitive Detector(PSD) 센서에서 두 끝단의 전류 비율을 나타내는 **비례 지표 (position ratio)**입니다. 구체적으로는, 센서의 양쪽 전극에서 검출되는 전류 ( I_A )와 ( I_B )의 비로 정의되며, 수식으로는
[ P = \frac{I_A}{I_B} = \frac{D}{x} – 1 ]
라고 표현됩니다.
이 식에서
- ( I_A )는 센서 왼쪽(또는 한 쪽) 전극에서 검출되는 전류,
- ( I_B )는 오른쪽(또는 반대쪽) 전극에서 검출되는 전류,
- ( D )는 PSD의 전체 길이(또는 기준 길이), 그리고
- ( x )는 빛이 센서 상에서 떨어진 기준점(보통 한쪽 끝)으로부터의 거리를 나타냅니다.
즉, P는 센서 위에 떨어진 빛의 위치에 따라 두 전극으로 흐르는 전류의 분포가 어떻게 변화하는지를 수치로 표현한 것으로, 이를 이용하여 빛의 정확한 입사 지점 ( x )를 계산할 수 있습니다. 예를 들어, ( P )의 값이 클수록 빛이 한쪽 끝에 더 가까이 떨어졌음을 나타내며, 반대로 ( P )가 작으면 다른 쪽 끝에 가깝다는 것을 의미합니다.
이러한 방식으로, PSD는 비접촉 방식으로 빛의 위치를 아주 정밀하게 측정할 수 있으며, 이때 P라는 비율 값이 핵심적인 역할을 하게 됩니다.
이외에도 PSD에 관련된 추가 원리나 보정(calibration) 과정, 혹은 응용 사례에 대해 더 궁금한 점이 있으시면 말씀해 주세요!