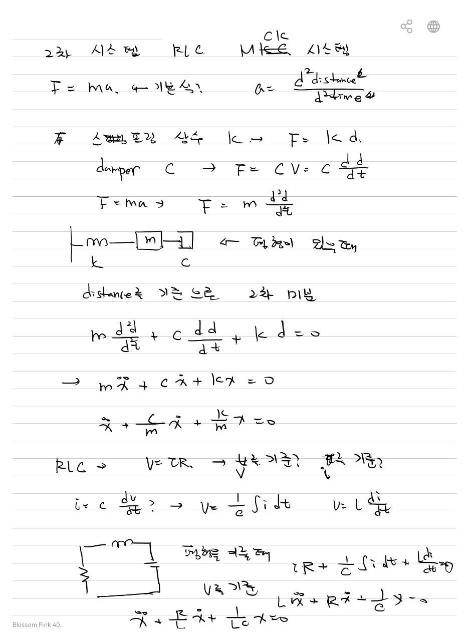
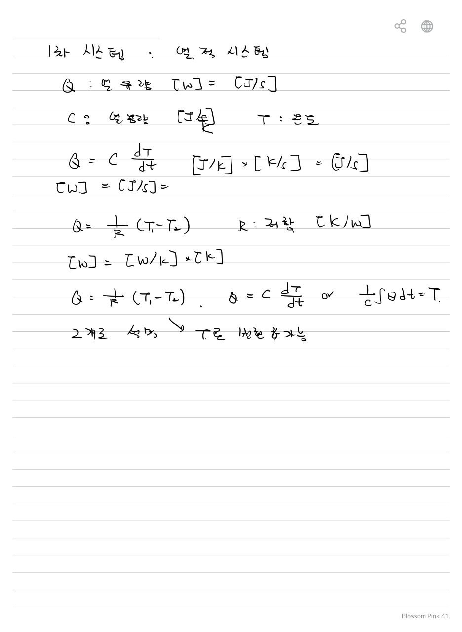
RLC, MCK, QT

mck는 자연스럽게 풀 수 있음. 최고 차항이 이미 왼쪽에 있으므로. RLC는 s를 양 항에 곱해야 하는데, 살짝 헷갈림. 출력을 정하지 않고 있다 마지막에 s*i(t)를 출력으로 사용.

댓글 달기

이메일 주소는 공개되지 않습니다. 필수 필드는 *로 표시됩니다

이 사이트는 Akismet을 사용하여 스팸을 줄입니다. 댓글 데이터가 어떻게 처리되는지 알아보세요.

위로 스크롤