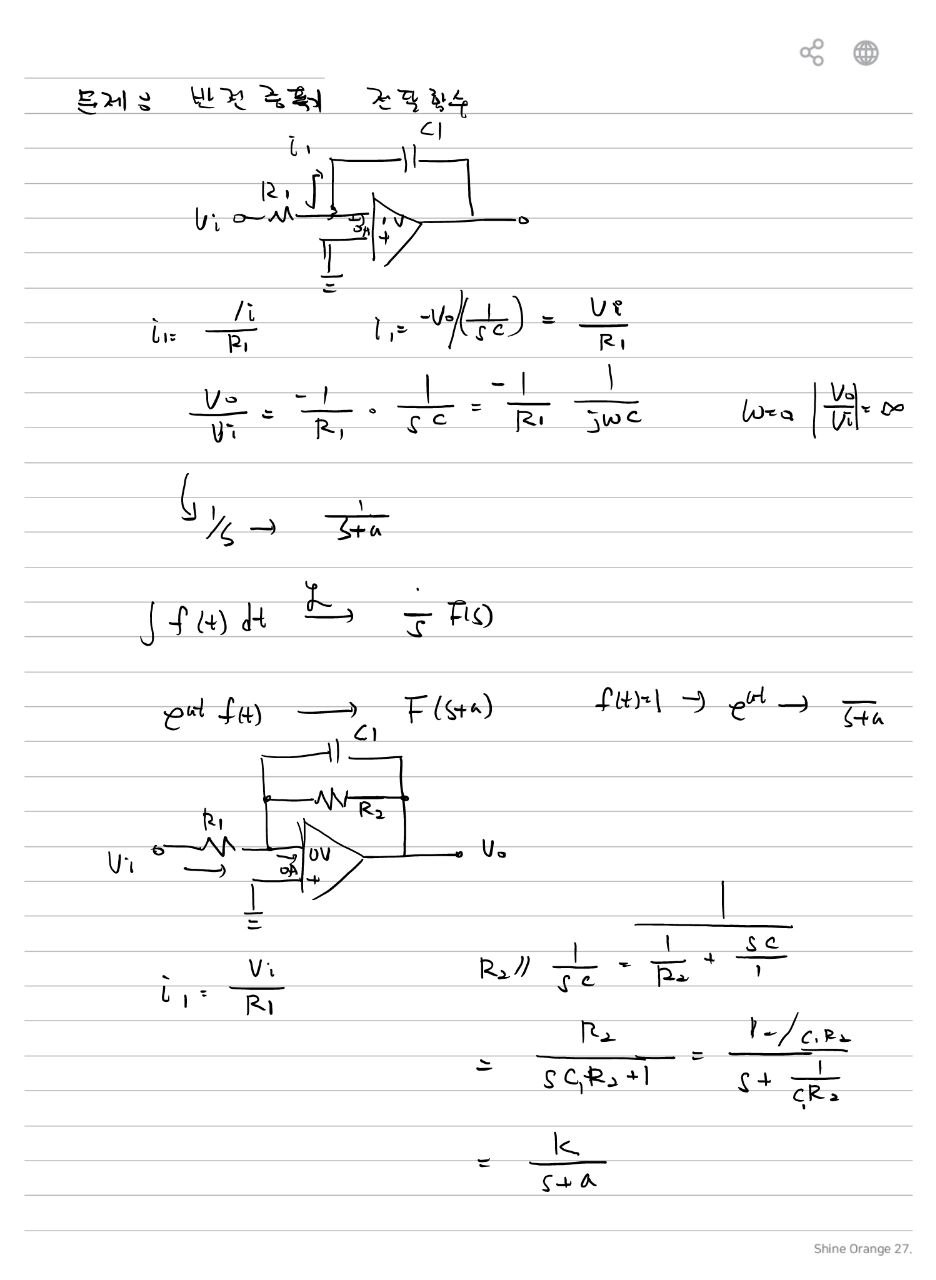
그림과 같은 반전 증폭기의 전달함수를 구하고 이 기능에 대하여 설명하시오.
GWR 레벨 측정기
오픈소스 라이센스
이메일 주소는 공개되지 않습니다. 필수 필드는 *로 표시됩니다
이름*
이메일*
웹사이트
댓글 알림 이메일 받기
새 글 알림 이메일 받기
Δ
이 사이트는 Akismet을 사용하여 스팸을 줄입니다. 댓글 데이터가 어떻게 처리되는지 알아보세요.