전기기사 실기 18년 기출관련

CT 2차를 개방하면 안되는 이유

https://yyxx.tistory.com/59

BIL

피뢰기 공칭 방전전류

변전소는 66kV 이상. 변전소에 대한 문제가 아님. 대부분 배전선로이므로 2.5kA 암기.

ASS 공칭 정격 전류

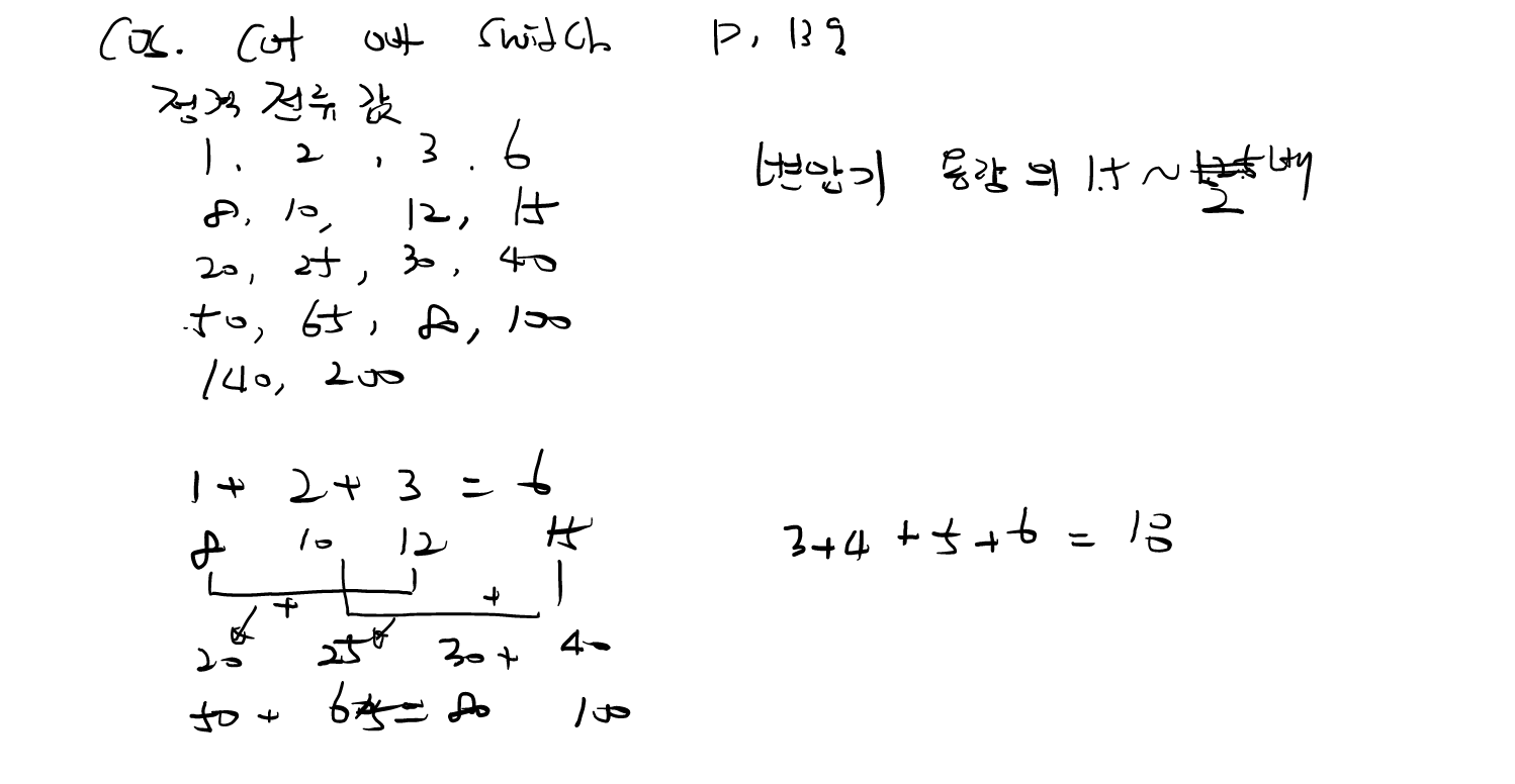
COS 정격 전류

문제 오류

한전과 계약 관계

2포트 회로와 선로정수

댓글 달기

이메일 주소는 공개되지 않습니다. 필수 필드는 *로 표시됩니다

이 사이트는 Akismet을 사용하여 스팸을 줄입니다. 댓글 데이터가 어떻게 처리되는지 알아보세요.

위로 스크롤