전기기사 실기 20년 기출관련

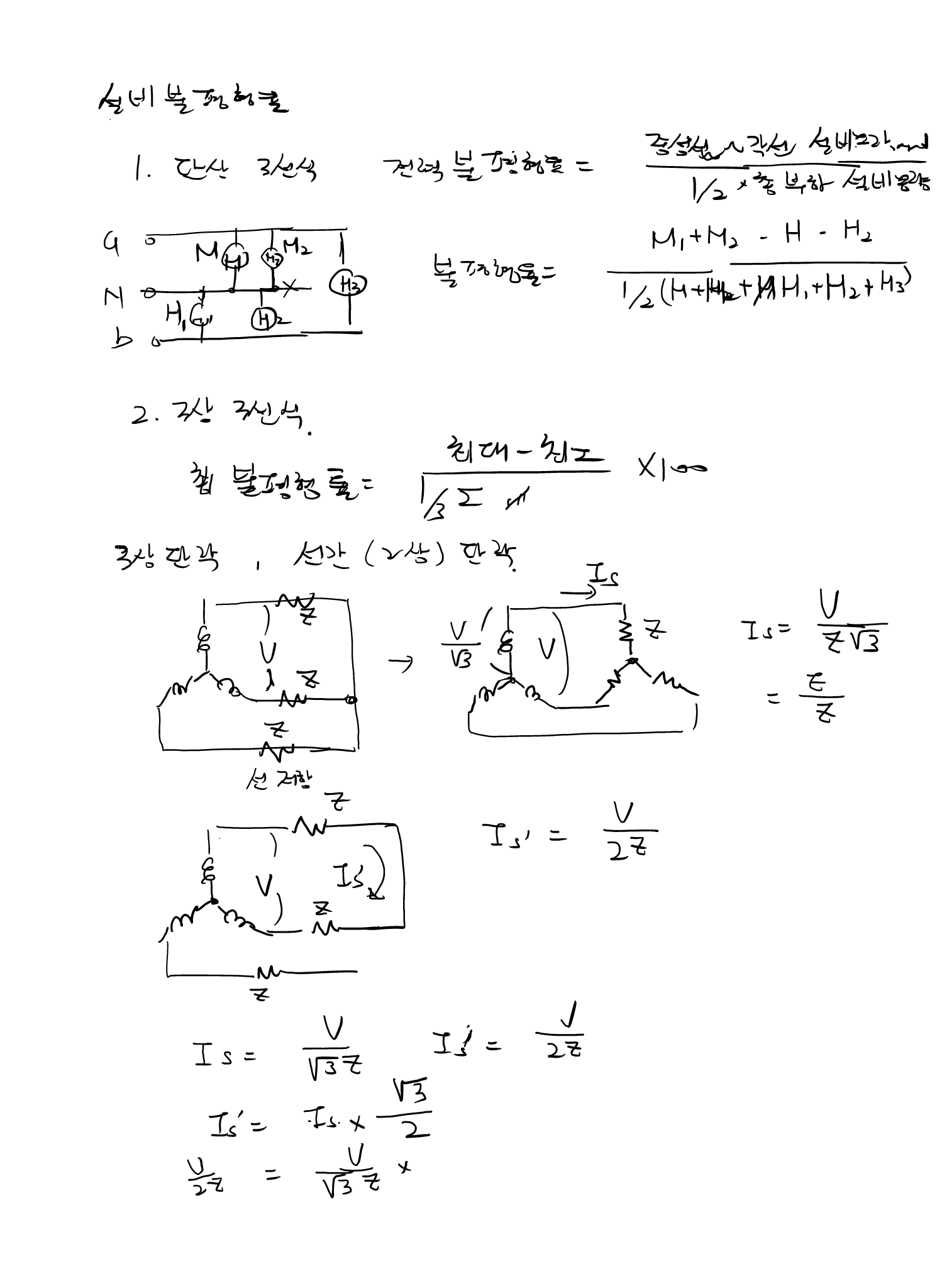
삼상 단락, 선간 단락

지락발생시 전류 변화

변압기에 변류기연결

클라우시 브릿지

정전용량

부하율, 부등율, 수용률

전압강하

댓글 달기

이메일 주소는 공개되지 않습니다. 필수 필드는 *로 표시됩니다

이 사이트는 Akismet을 사용하여 스팸을 줄입니다. 댓글 데이터가 어떻게 처리되는지 알아보세요.

위로 스크롤