네트워크 변압기 용량 산출

피뢰기 선정

전압계 배율기, 전류계 분류기

부하중심 거리

차단기, 지락 전류

ZCT를 통과하는 전류는 지락 발생해도 다시 돌아오기 때문에 더하지 않아야 됨. 여기에서 전류는 한 상에 대한 Capacitance만 고려. 차단기가 3개 상이 따로 있으니까.
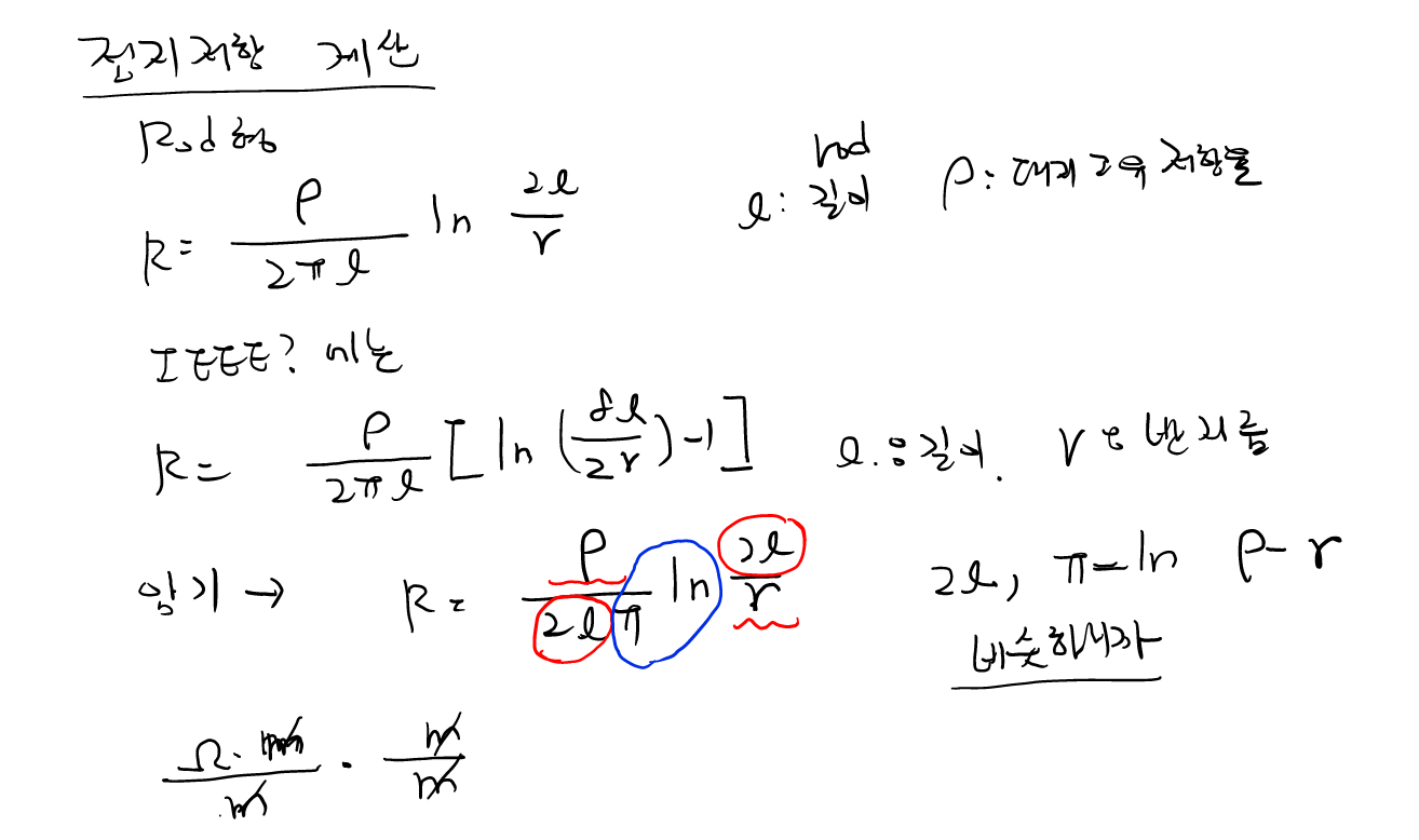
접지저항 계산

정상, 역상, 영상 암기

여러 전원일 경우 단락용량

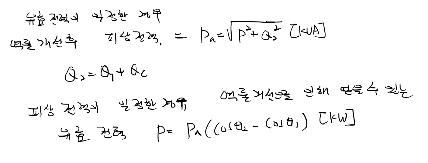
역률개선, 전압강하
두 공식 헷갈림.


헷갈리는 전력 콘덴서 추가



삼전류계법

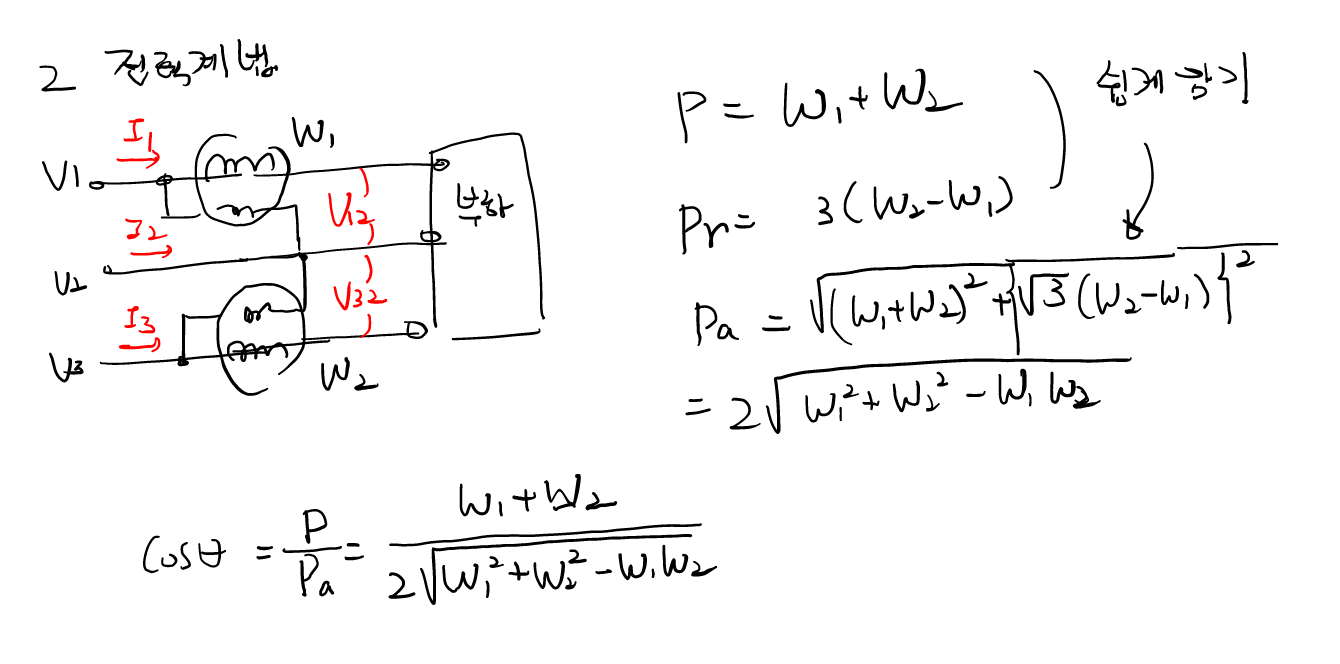
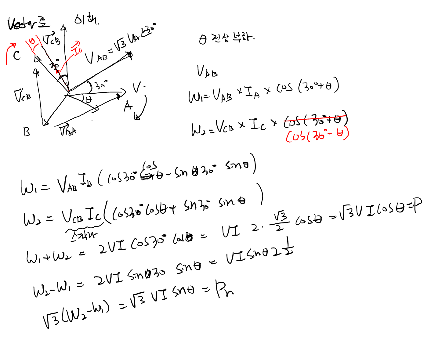
2전력계법
삼상 부하 유효 전력을 측정
아래 식에서 Pr에 3이 아니라 root 3으로 잘못 표기됨.


https://blog.naver.com/wjsrl789/222985686469
https://blog.naver.com/igun3400/222423920752
%Z와 부하 부담 관계

지락시 전압

설비 불평형률
