23년 1회, 2회 리뷰

  • 테브낭 등가회로
  • 콜라우시 브리지 & Y-Delta 변환
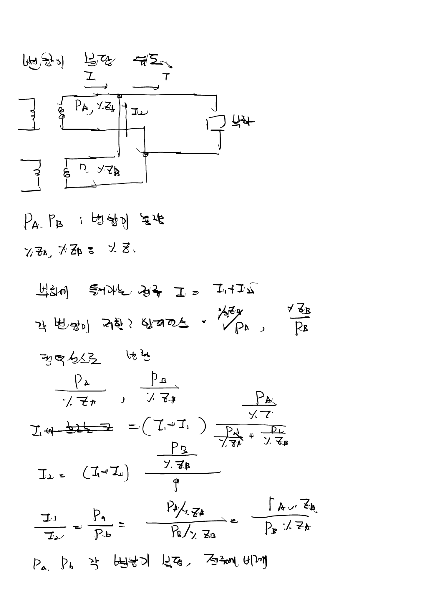
  • 변압기 부담 유도
  • 변압기 중성점 접지저항 값

댓글 달기

이메일 주소는 공개되지 않습니다. 필수 필드는 *로 표시됩니다

이 사이트는 Akismet을 사용하여 스팸을 줄입니다. 댓글 데이터가 어떻게 처리되는지 알아보세요.

위로 스크롤