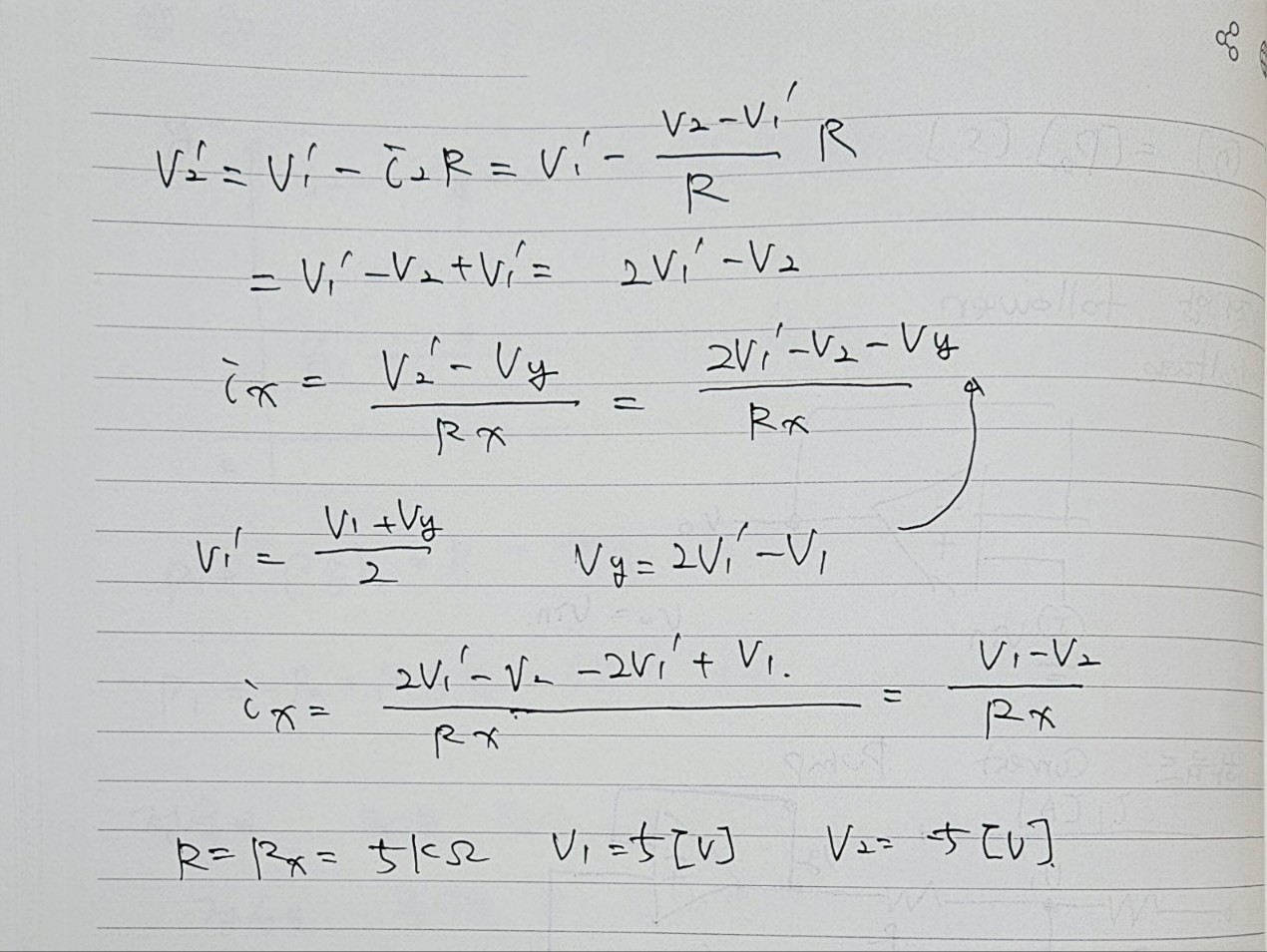
Howland Current Pump글쓴이 이대원 / 2024-07-07 Howland-Current-Pump다운로드 http://www.falstad.com/circuit/circuitjs.html 전자회로2장OPamp다운로드