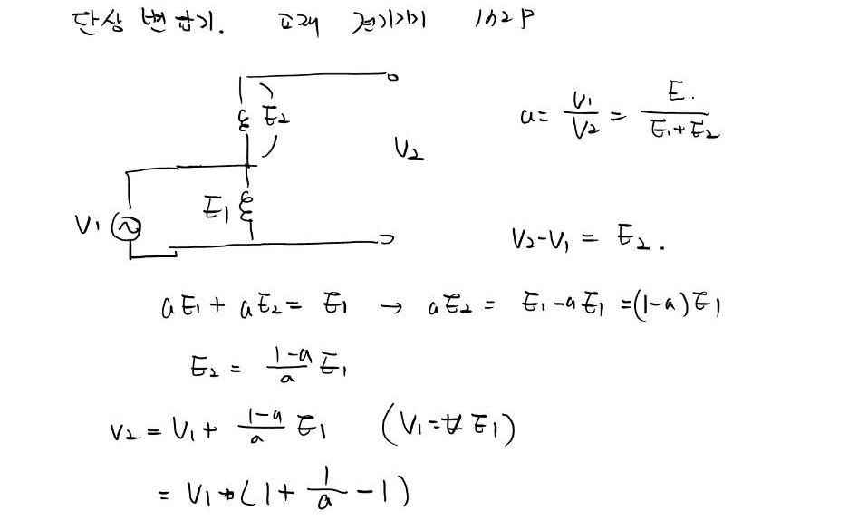
단권 변압기

21년 2회 문제 16번.

페이지 41, 42 업데이트

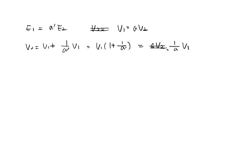
V1과 V2의 비와 E1과 E2 비가 다름. 교재 문제풀이는 E1, E2를 a로 설정했음.

댓글 달기

이메일 주소는 공개되지 않습니다. 필수 필드는 *로 표시됩니다

이 사이트는 Akismet을 사용하여 스팸을 줄입니다. 댓글 데이터가 어떻게 처리되는지 알아보세요.

위로 스크롤