적분 테이블
https://t1.daumcdn.net/cfile/tistory/1413E4465086C51E0B
선전하 가우스 법칙으로 설명
https://m.blog.naver.com/mykepzzang/220703829985
무한 면에 전하가 존재할 때 전계 세기
각 형상에 따른 capacitance(정전용량)
Maxwell’s stress
전계가 경계면에 수직으로 들어갈 경우힘.
https://m.cafe.daum.net/skilldadan/n58y/5057/comments


전류에 의한 자계 계산
자계 컨투어 적분
http://contents.kocw.or.kr/KOCW/document/2014/sungkyunkwan/jungsangyong/10.pdf
https://phys.libretexts.org/Bookshelves/Mathematical_Physics_and_Pedagogy/Complex_Methods_for_the_Sciences_(Chong)/09%3A_Contour_Integration/9.01%3A_Contour_Integrals
비오사바트 법칙으로 무한 원형도체 자기장
https://namu.wiki/w/%EB%B9%84%EC%98%A4-%EC%82%AC%EB%B0%94%EB%A5%B4%20%EB%B2%95%EC%B9%99
Stokes’s Theorem
https://m.blog.naver.com/tnalsdl326/220139889371
토크 방향
전류가 흐를 경우 자계로 인한 힘 발생.

유한 직선 전류
원형도선의 자계 유도

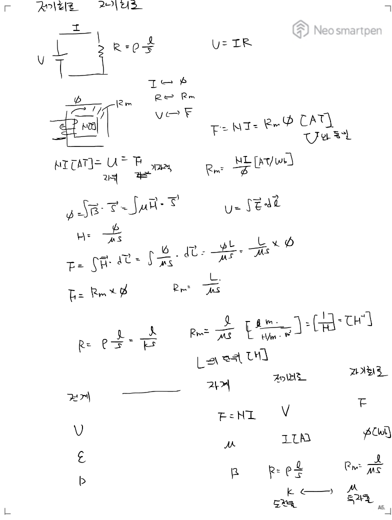
자기회로 대 전기회로


분극과 전하의 관계


유전체에 작용하는 힘

변위전류와 전압의 관계
마지막 식 암기.

저항과 커패시턴스 관계

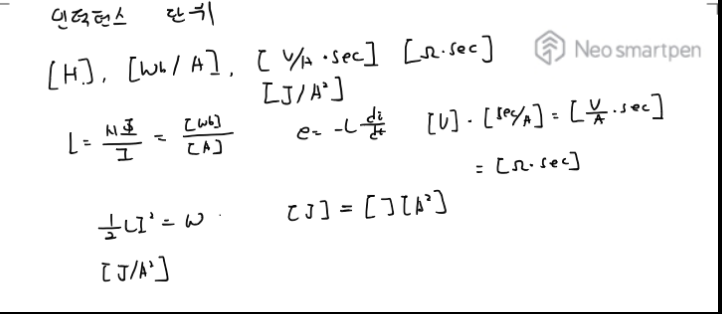
인덕턴스 단위

콘덴서 내압

평등한 자계로 전자가 입사할 때

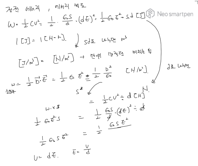
에너지 밀도와 힘의 관계

가우스 정리

기전력과 힘의 관계

Torque

자기(전자)에너지
W= 12×LI2=12×NΦI=N2?22L[J]

