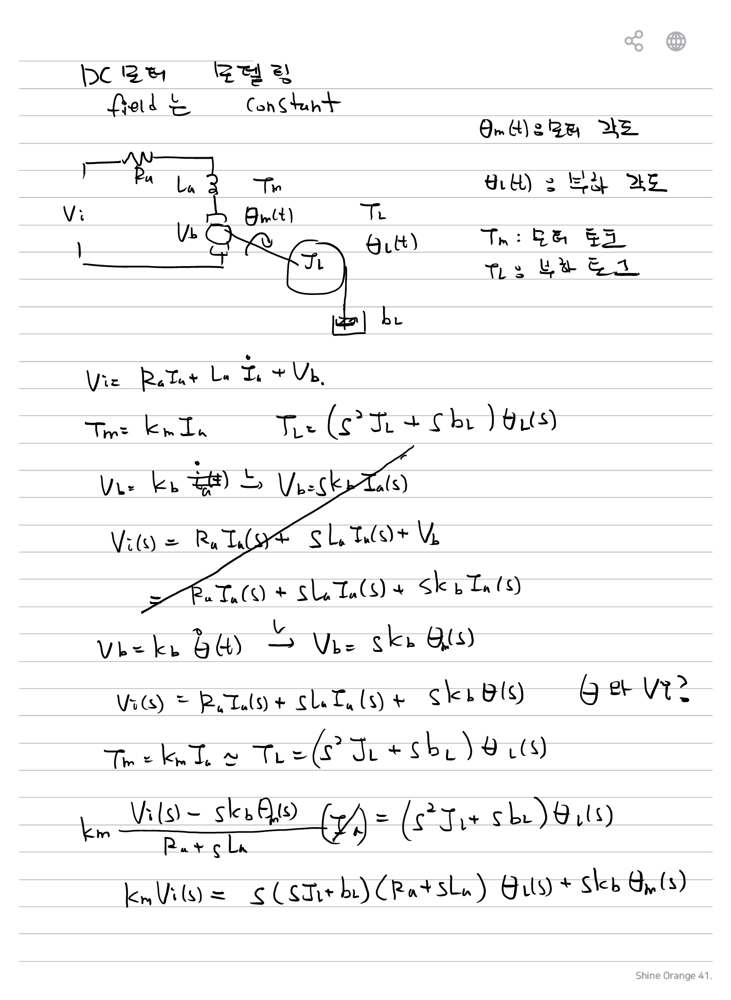
109회 DC 모터 transfer function글쓴이 이대원 / 2024-01-30 Transfer Function of Armature Controlled DC Motor https://ropiens.tistory.com/8