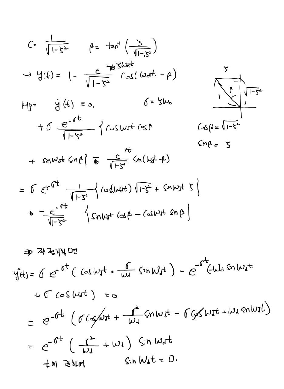
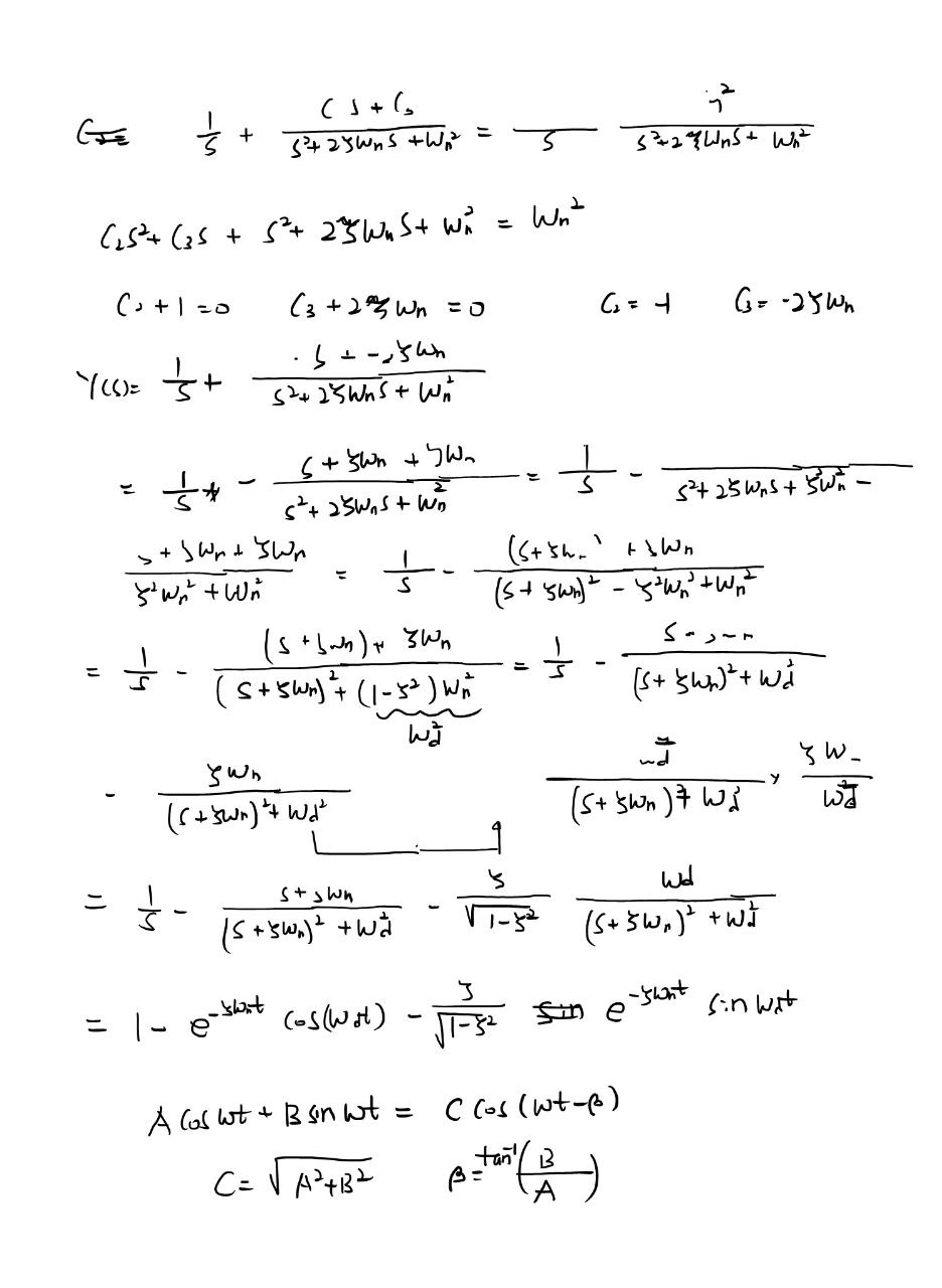
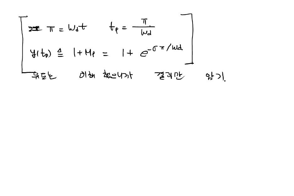
2차 시스템의 time specification글쓴이 이대원 / 2023-11-26 시험에 낼지 모르겠지만, 정리하는 겸..어렵다. cover up method trigometry identities partial fraction coveup_method다운로드 https://en.wikipedia.org/wiki/List_of_trigonometric_identities PartialFraction다운로드