21년 1, 2, 3회 리뷰

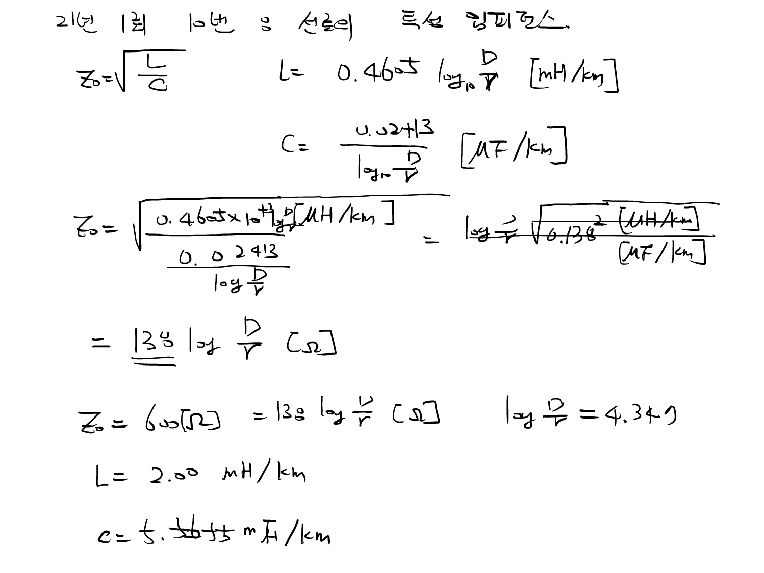
  • 선로의 특성 임피던스
  • 광속
  • 접지도체 두께
  • 오차율, 보정률
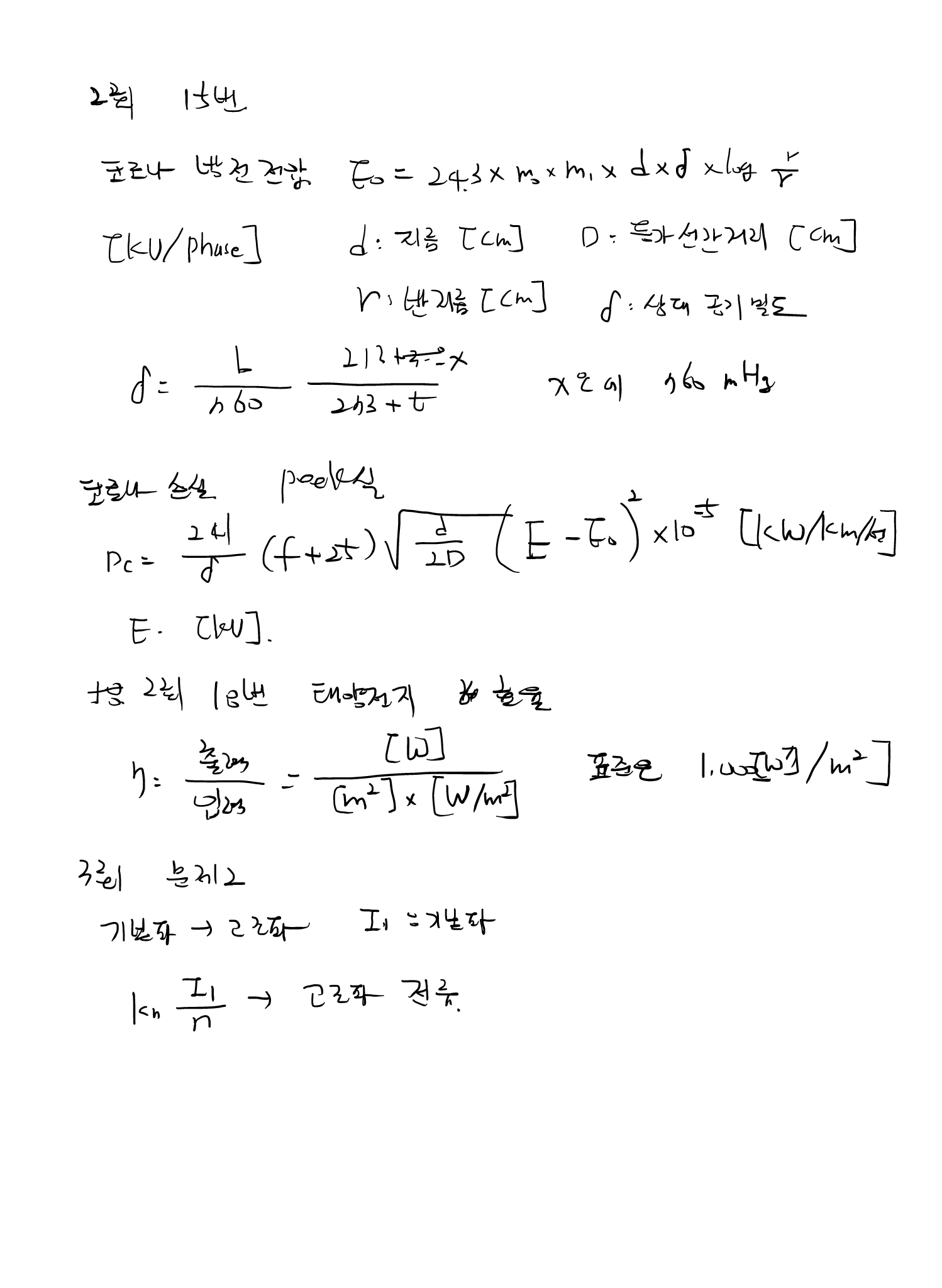
  • 코로나 방전 전압, 피크식
  • 고조파 전류, 전압 저감률
  • 열적 과전류

댓글 달기

이메일 주소는 공개되지 않습니다. 필수 필드는 *로 표시됩니다

이 사이트는 Akismet을 사용하여 스팸을 줄입니다. 댓글 데이터가 어떻게 처리되는지 알아보세요.

위로 스크롤