22회 2, 3회 리뷰

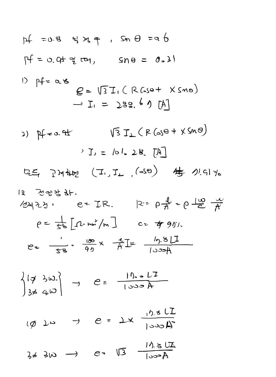
  • 상과 선 수에 따른 전압강하 계산
  • 철손, 동손, 출력이 주어졌을 경우, 변압기 효율
  • 역률에 따른 전압 강하

댓글 달기

이메일 주소는 공개되지 않습니다. 필수 필드는 *로 표시됩니다

이 사이트는 Akismet을 사용하여 스팸을 줄입니다. 댓글 데이터가 어떻게 처리되는지 알아보세요.

위로 스크롤