주요 키워드
- XOR과 XNOR을 구분할 수 있는지?
- NAND 게이트를 NOR 게이트로 변경할 수 있는지?
- 네트웍 변압기 사용 조건
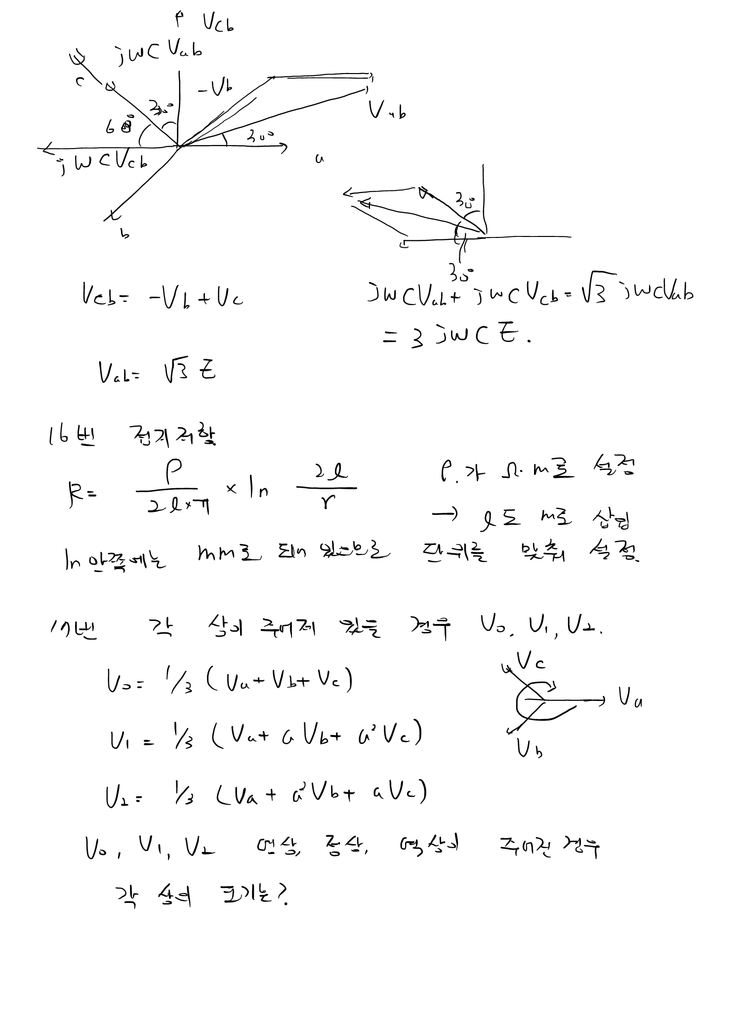
- 단락 전류 = 3WCE를 어떻게 유도
- 변압기 결선에 따른 극성 변화
- 공칭 전압이 주어졌을 경우, 최대 전압은 차단기 최대 사용 전압과 일치
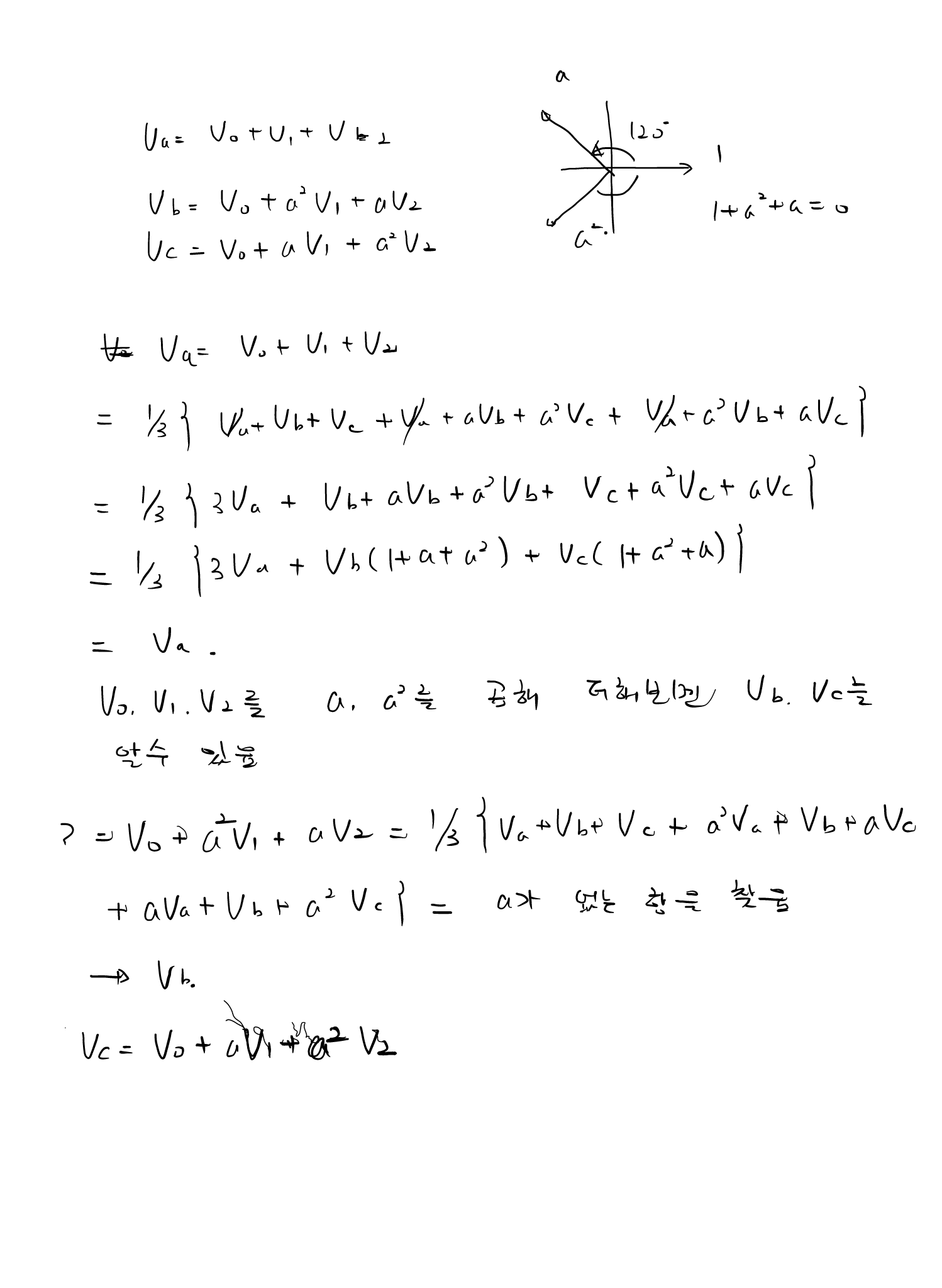
- 영상, 정상, 역상이 주어졌을 경우, A, B, C상을 구할 수 있는지? 23년 2회 기출.
- A, B, C상이 주어졌을 경우, 영상, 정상, 역상을 구할 수 있는지?
- 역률이 주어졌을 경우, 전압 변동율을 계산할 수 있는지?
- 진상, 지상을 알고 있는지?







