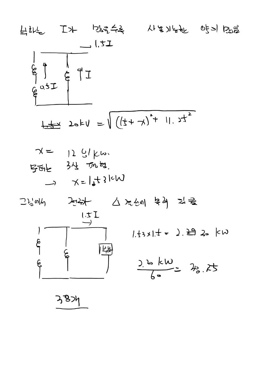
DELTA결선 부하 추가

델타 결선 변압기에 한 상에 부하를 추가할 때 여유량

모터는 3상에 평형하게 물려 있으므로 DELTA 결선이 아님. 추가할 전등만 델타 결선이고, 역률 100으로 간주.

댓글 달기

이메일 주소는 공개되지 않습니다. 필수 필드는 *로 표시됩니다

이 사이트는 Akismet을 사용하여 스팸을 줄입니다. 댓글 데이터가 어떻게 처리되는지 알아보세요.

위로 스크롤