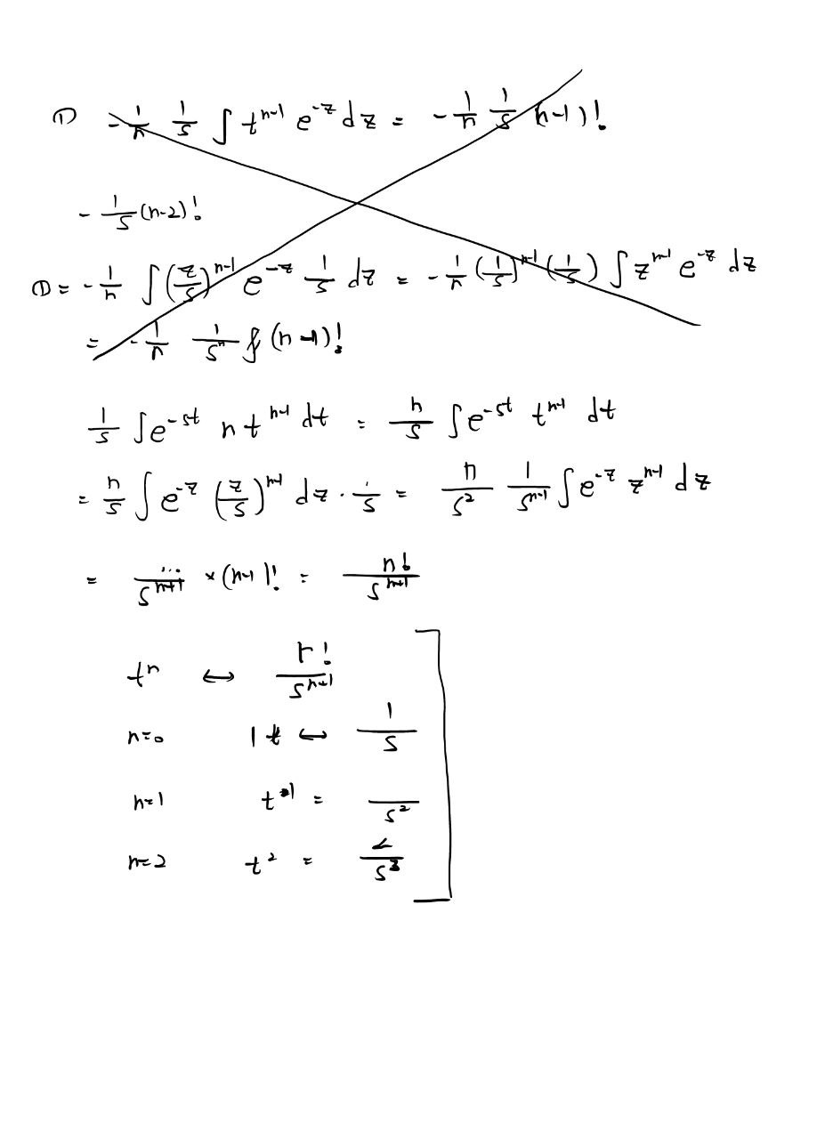
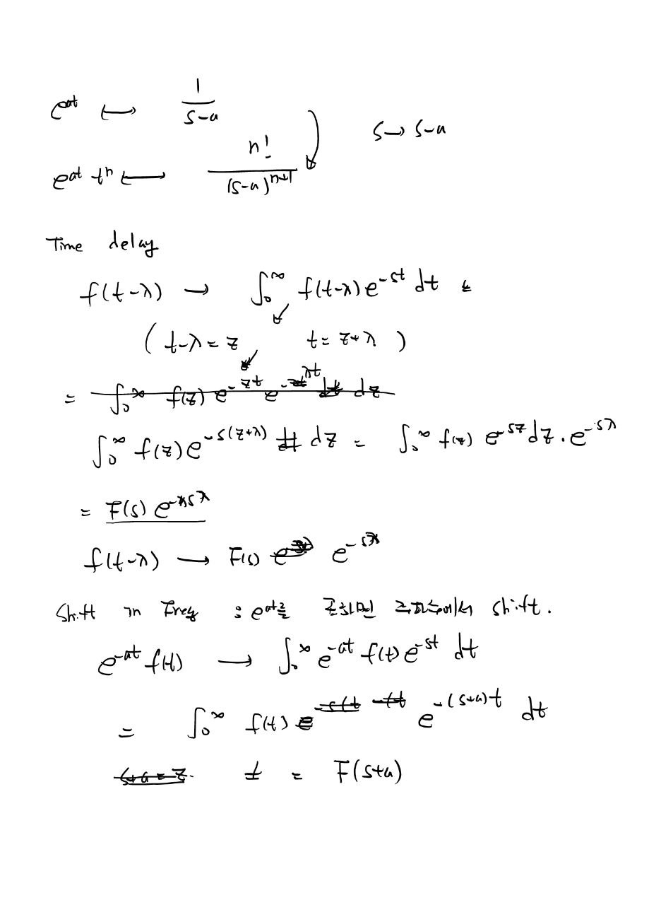
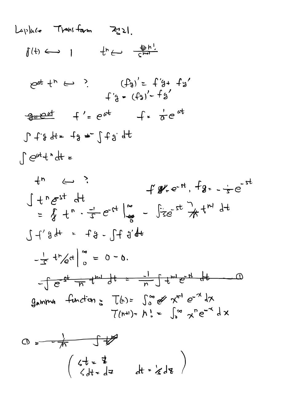
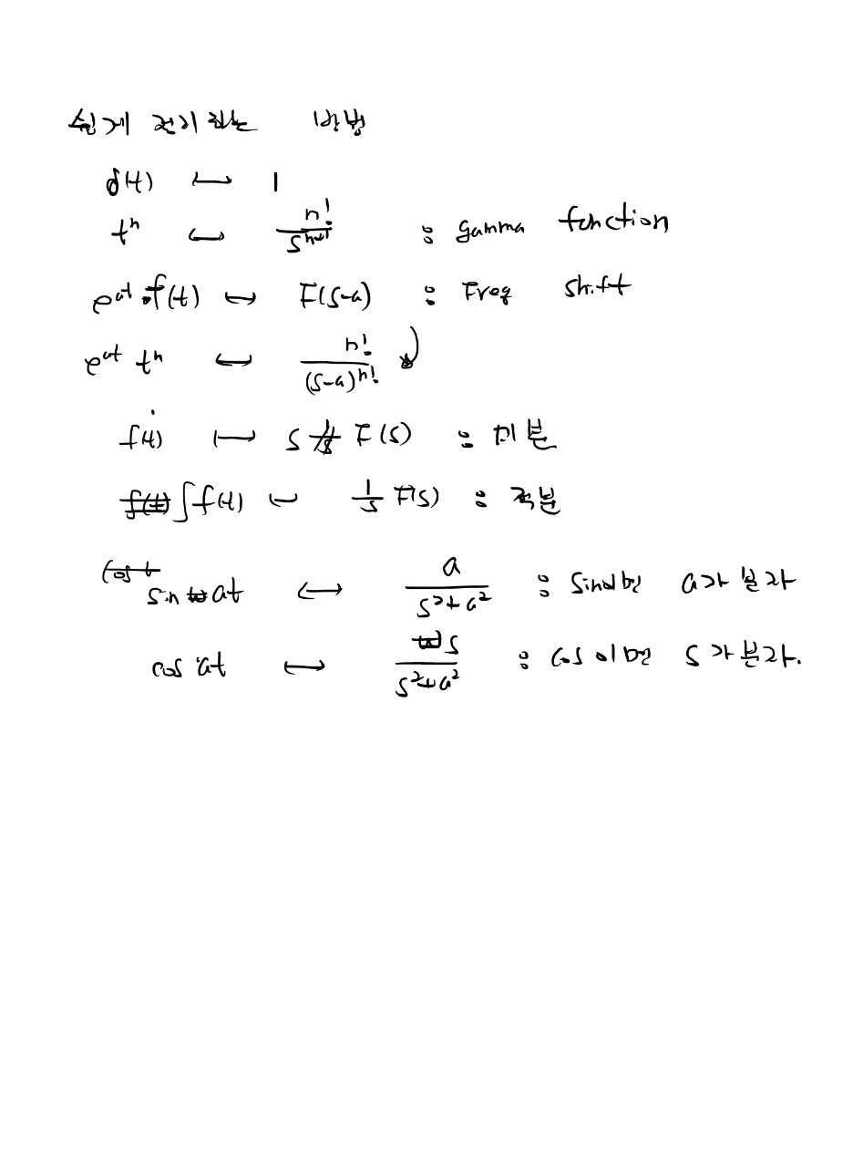
Laplace Transform2글쓴이 이대원 / 2024-01-08 https://byjusexamprep.com/gate-eee/laplace-transform#toc-2 Definition: The gamma function of n, written Γ(n), is ∫ 0∞ e-xxn-1dx. Recursively Γ(n+1) = nΓ(n). For non-negative integers Γ(n+1) = n!.