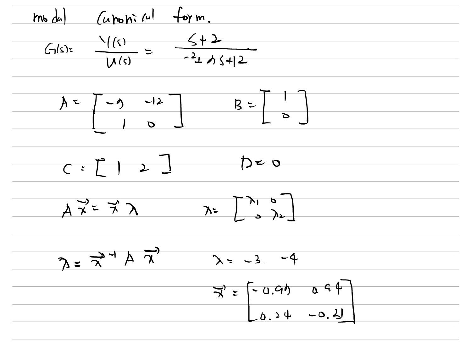
Modal Canonical Form글쓴이 이대원 / 2024-01-13 강의 영상을 보다 eigenvector가 이상하여 확인을 python으로 해보았다. modal_canonical_form다운로드