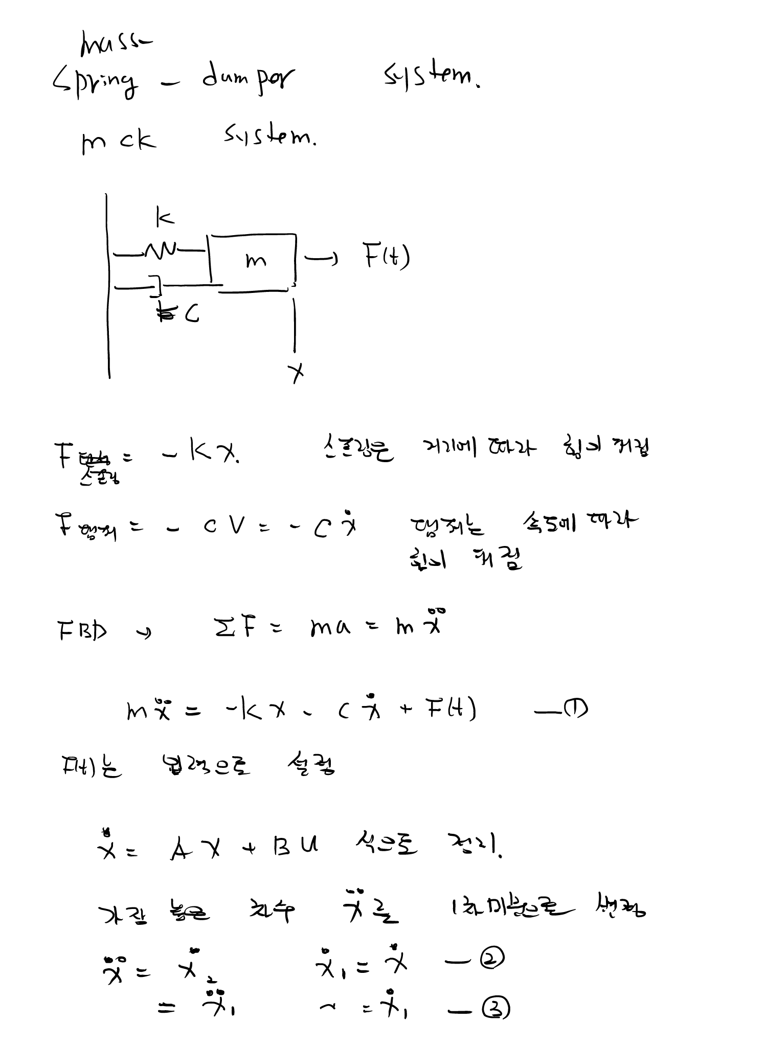
mck system글쓴이 이대원 / 2023-12-26 https://ctms.engin.umich.edu/CTMS/index.php?example=Introduction§ion=SystemModeling