Matrix Exponential

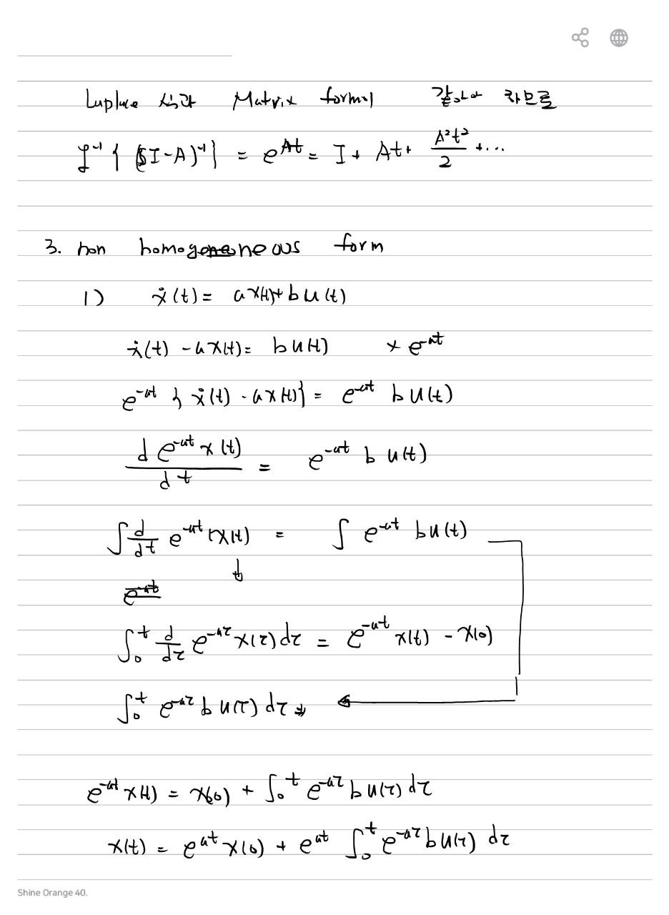
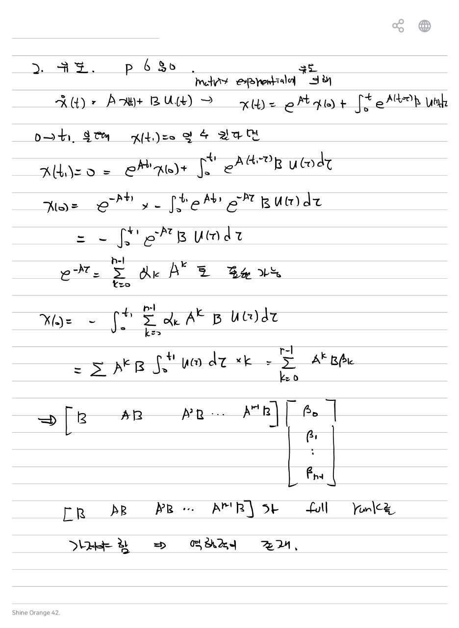
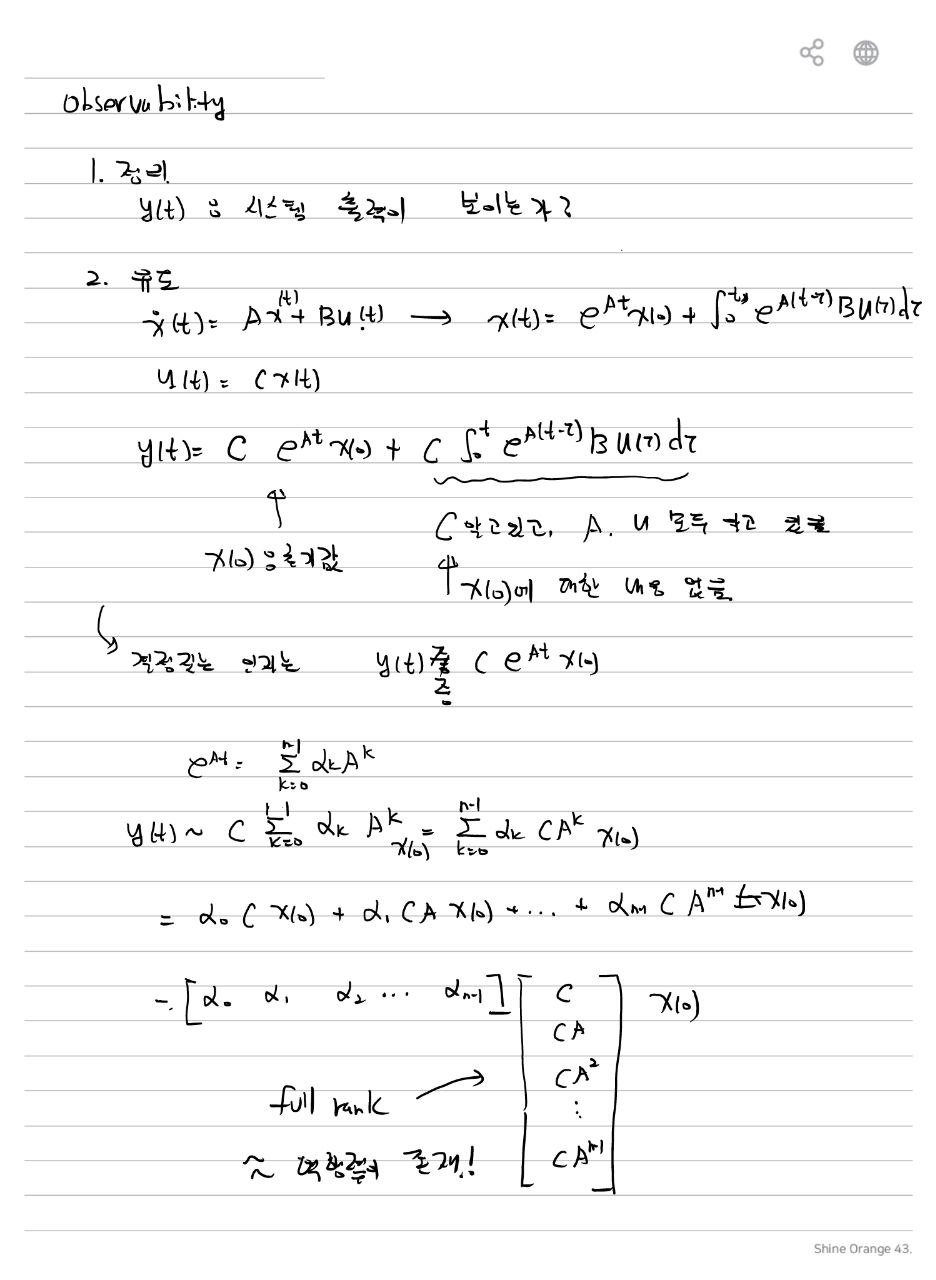
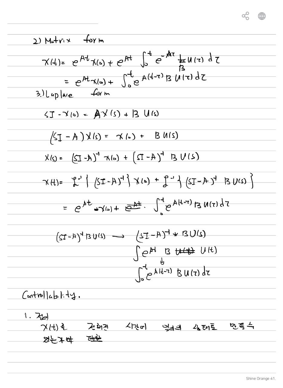
state state 해석시 기본식 정리. 여기에서 시작하여 controlibility,observability 유도 필요

106회 기출문제

댓글 달기

이메일 주소는 공개되지 않습니다. 필수 필드는 *로 표시됩니다

이 사이트는 Akismet을 사용하여 스팸을 줄입니다. 댓글 데이터가 어떻게 처리되는지 알아보세요.

위로 스크롤