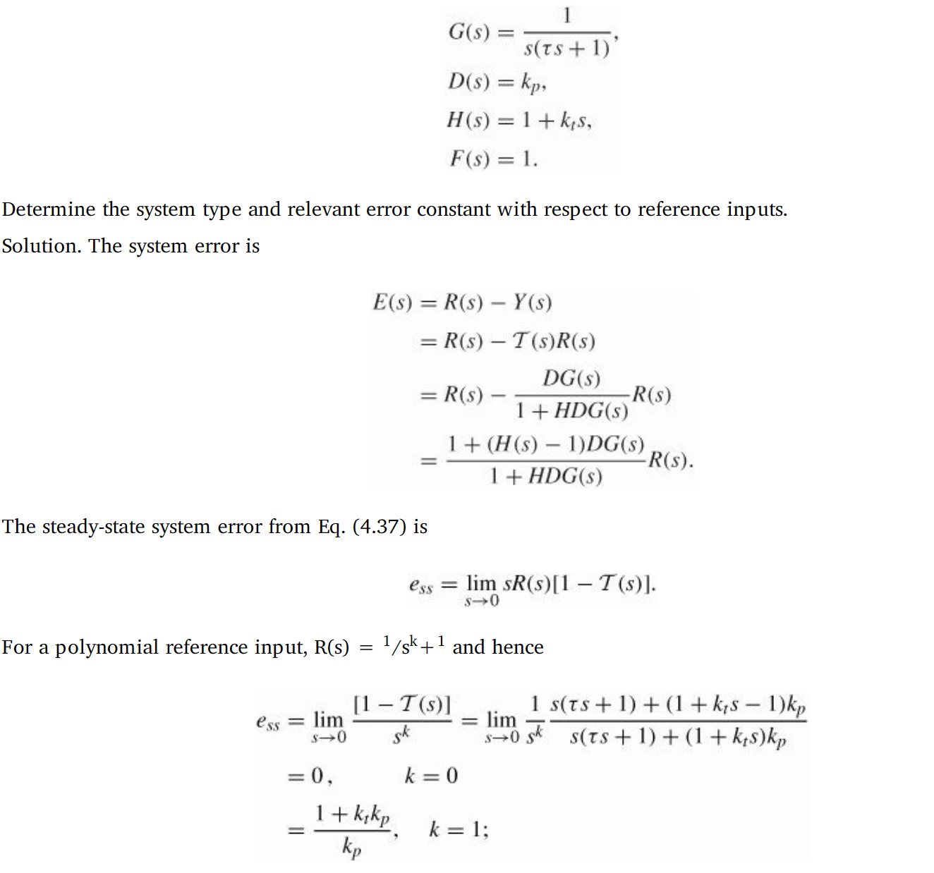
제어기 필요 조건 암기위주 정리글쓴이 이대원 / 2026-04-05 NeoStudio_20260405_173033_산업계측제어_기술사_16_001다운로드 책이 틀려 암기 혼동됨. 정리! sensitivity 제어기 설계시 고려 사항 제어기 구비 조건