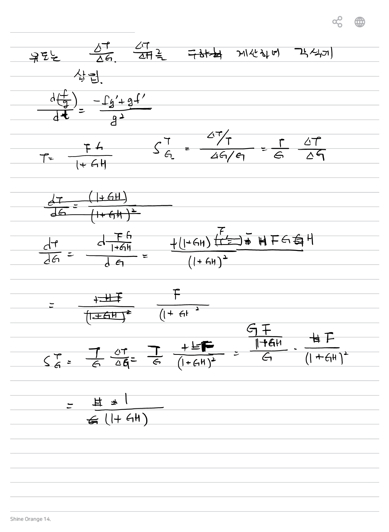
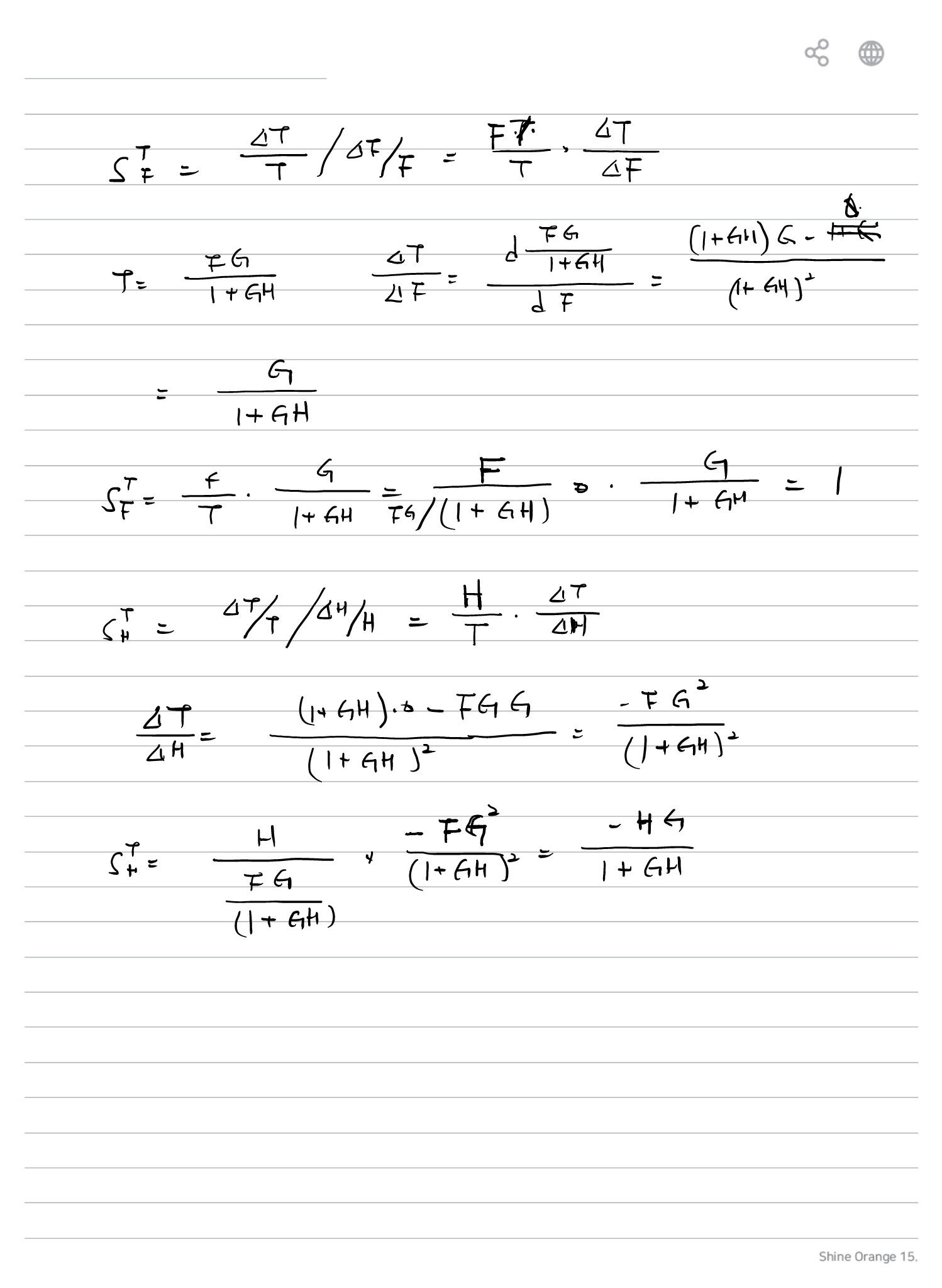
sensitivity글쓴이 이대원 / 2024-01-20 S: sensitivity, T: transfer function의 변화량, G: gain NeoStudio_20240430_212657다운로드