Nyquist Plot

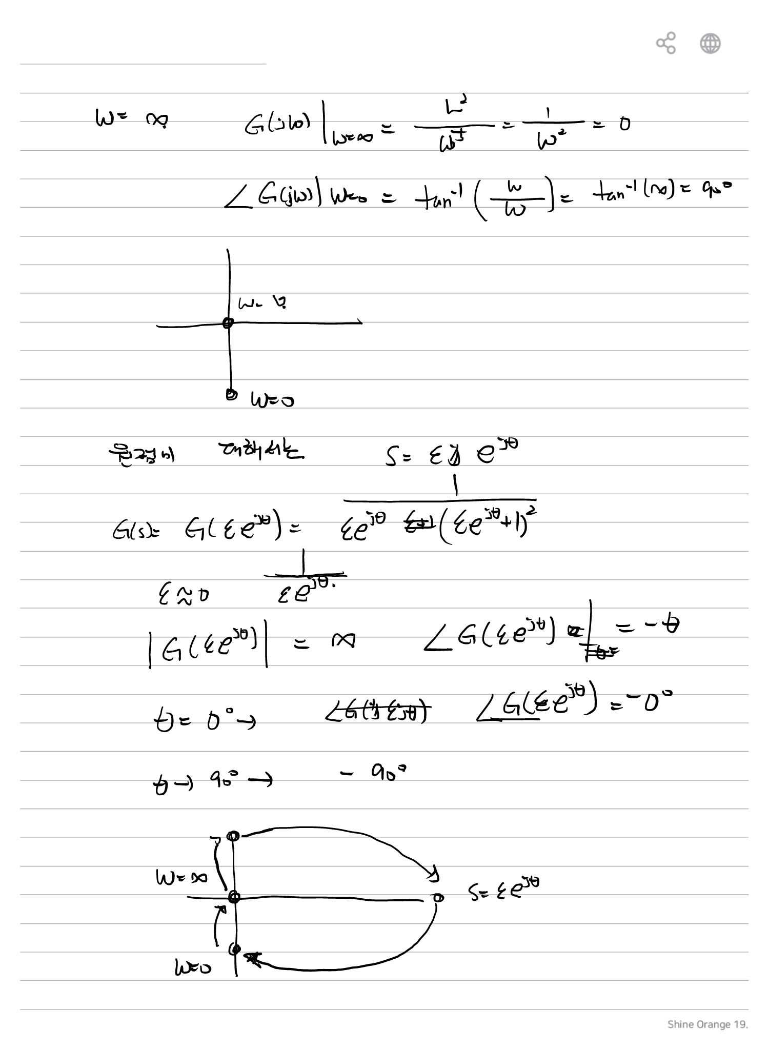
Open Loop Transfer Function Pole이 원점을 지나는 경우

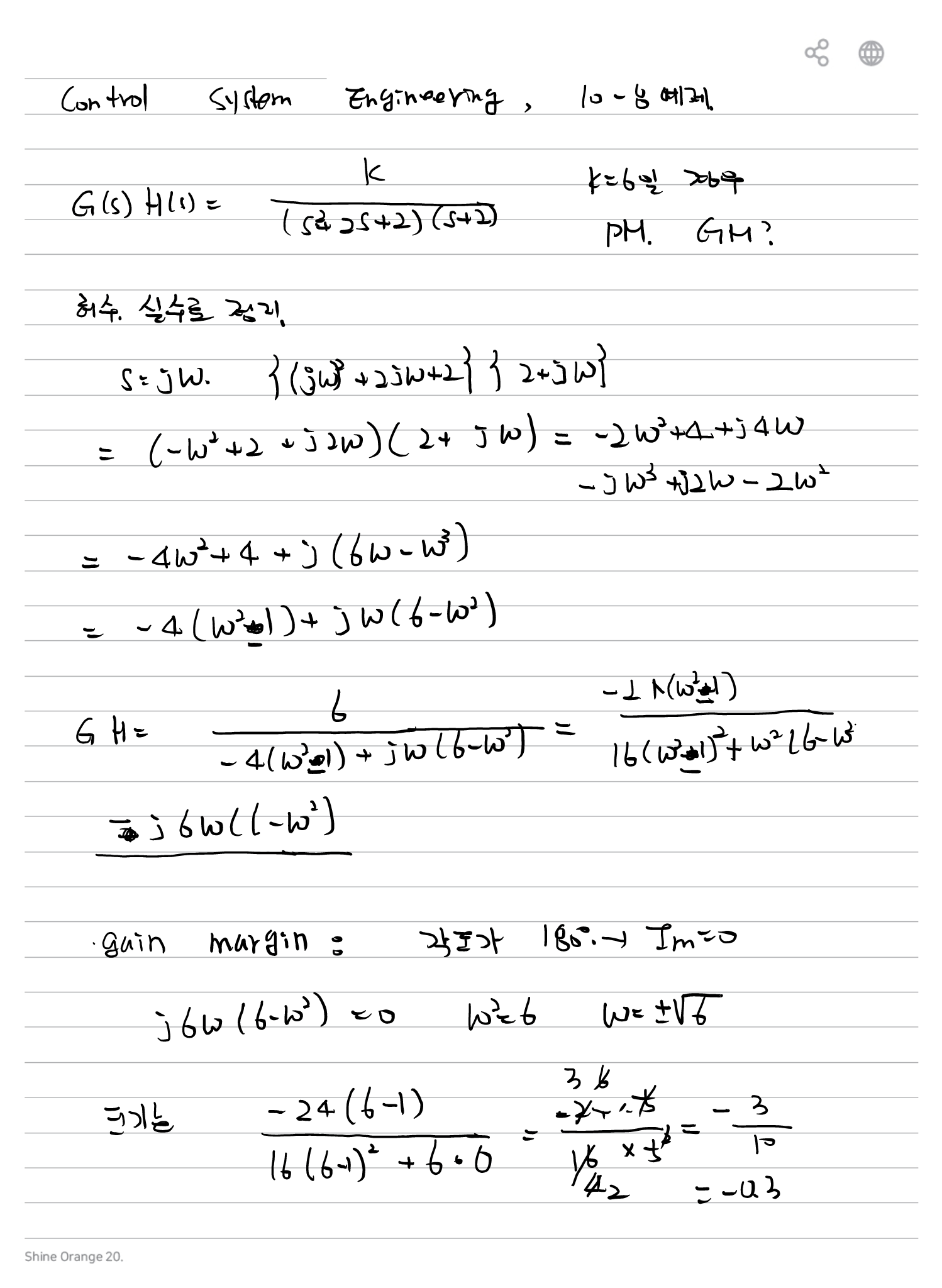
Gain Margin 구하는 방법 예제

댓글 달기

이메일 주소는 공개되지 않습니다. 필수 필드는 *로 표시됩니다

이 사이트는 Akismet을 사용하여 스팸을 줄입니다. 댓글 데이터가 어떻게 처리되는지 알아보세요.

위로 스크롤