

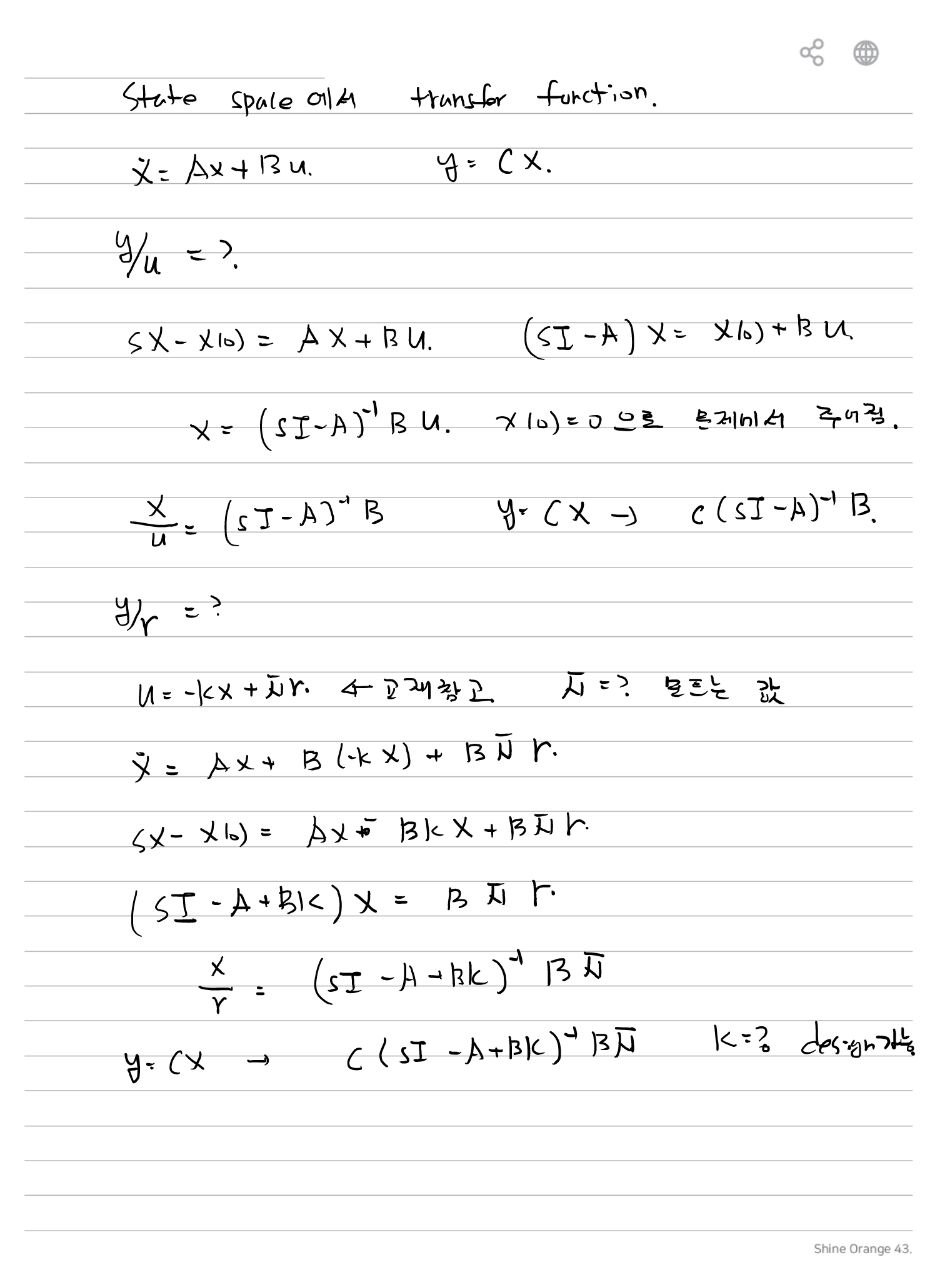
https://lpsa.swarthmore.edu/Representations/SysRepTransformations/TF2SS.html
Feedback control of Dynamic Systems의 7.5.2 Introducing the Reference Input with Full-State Feedback



여기 참조
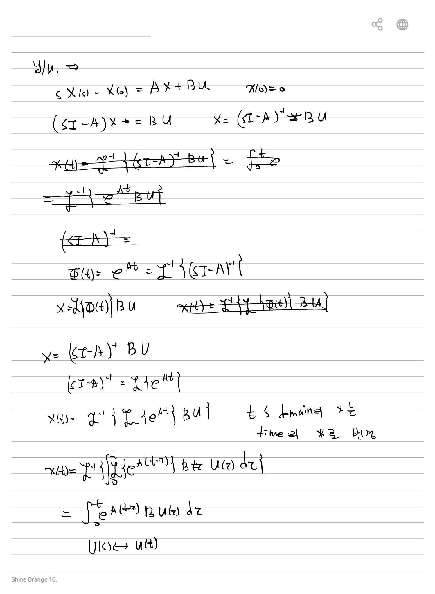
C matrix는 X에 tau와 t에 대하여 상수로 취급.





https://lpsa.swarthmore.edu/Representations/SysRepTransformations/TF2SS.html
Feedback control of Dynamic Systems의 7.5.2 Introducing the Reference Input with Full-State Feedback



여기 참조
C matrix는 X에 tau와 t에 대하여 상수로 취급.


