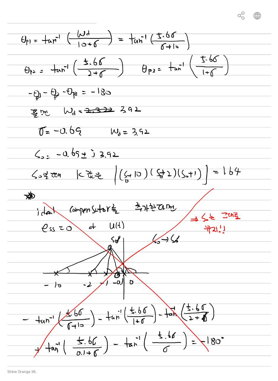
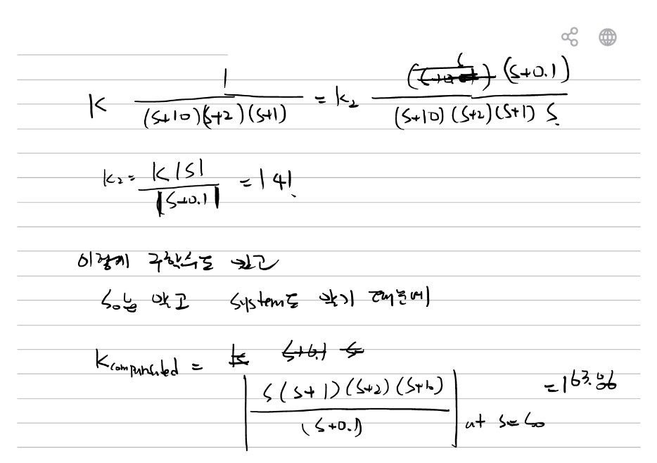
lag compensator 설계 root locus design글쓴이 이대원 / 2024-01-28 Root Locus로 damping ration가 정해졌을 경우, 목표점을 구하기 Control Systems Engineering 예제 https://electronics.stackexchange.com/questions/333310/how-to-find-the-intersection-point-in-rootlocus-diagram